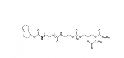
DSPE-PEG-TCO 磷脂聚乙二醇修饰反式环辛烯 TCO-PEG-DSPE
英文版名:
DSPE-PEG1K-TCO
中文名:磷脂-聚乙二醇-反式环辛烯
别名:DSPE-PEG-TCO 磷脂聚乙二醇修饰反式环辛烯 TCO-PEG-DSPE
的结构简式:


pg电子娱乐游戏app
微信公众号
官方微信