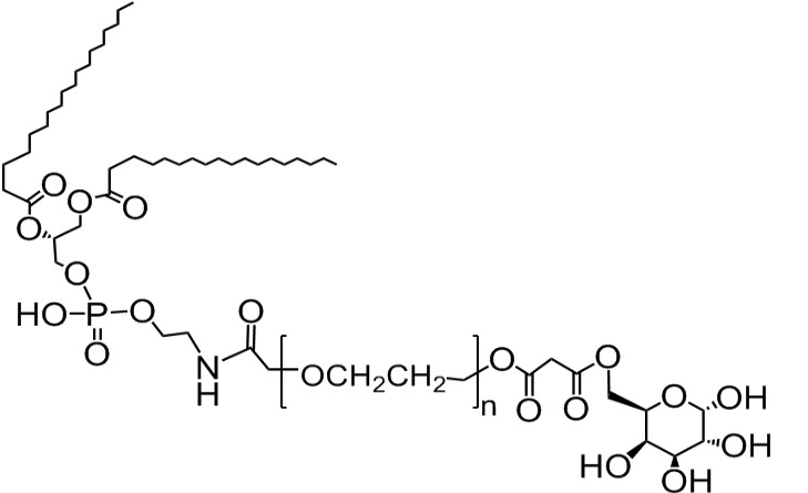
DSPE-PEG-galactose,磷脂PEG半乳糖,二硬脂酰磷脂酰乙醇胺-聚乙二醇-半乳糖
【服务名稱】二硬脂酰磷脂酰甲醇胺-聚乙二醇-半乳糖、DSPE-PEG-galactose磷脂PEG半乳糖,dspe聚乙二醇galactose【新产品情况】相转移催化剂: 二氯二氧化氮:甲醇=1:1悬浊液,氯仿。遗传性状:特征提取不一样的的团伙量,呈黑色/类黑色混合物粉尘,或稠状液。平衡性:保鲜冷库留存,尽量不要总是冻融。原子量(PEG ):2000、3400、5000,其它的原子量可开发。为切实保障货品的增强性,请留意在温控干涩时候能够打开浏览器礼品盒拿取!



pg电子娱乐游戏app
微信公众号
官方微信