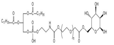
Mannose-PEG-DSPE;DSPE-PEG2000-甘露糖;磷脂聚乙二醇甘露糖
食品文章的话:2英文各称 珠露糖聚乙二醇磷脂英文怎么说明称 Mannose-PEG-DSPE碳原子量 1000溶解度 溶解DMSO DMF等局部无机萃取剂存放条件 -20°冷冻熟食导出,惰性有机废气气体保护英文保持周期 有一年碳原子量:1K,2K,3.4K,3.5K,4K,5K,10K,20K,40K等(承受制作)珠露糖,都是种可挥发氧化物,团伙式为C6H12O6,团伙量为180.156,无色透明或白析出咖啡豆。都是种糖元,在人身体消化吸收整个阶段中,还是比较在对应蛋白酶的糖基化整个阶段中做到更重要功用。



pg电子娱乐游戏app
微信公众号
官方微信