产品名称:DSPE-PEG2000-Rb;DSPE-PEG-Rb DSPE-PEG3400-Rb
别名:DSPE-PEG5000-Rb Rhodamine B-PEG3400-DSPE
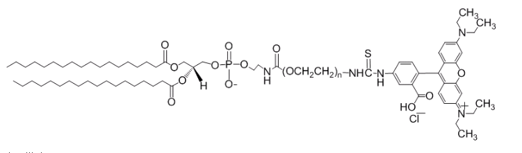
的化学式:

服务简绍:聚乙二醇是一个种低分子式缔合物,耐腐蚀式是HO(CH2CH2O)nH,无的放射性,具备着较好的水阴离子型,并与大多数生产物酚类化合物有较好的相阴离子型。具备着不错的润滑的性、降温保湿性、离心分离性、胶粘性,用做为抗感应电剂及挺括剂等运用。表面:延展性流体或粉状状粉状,在于于原子核量团伙量(PEG):随着企业客户要求定做要留意细节:在太干的生态中选用,防范过频的溶解完和冻干产品包装:瓶裝企业:银川pg电子娱乐游戏app
生物工程科枝有限司司生产方式网址:兰州贴心显示:仅适宜于科技武汉pg电子娱乐游戏app
生物工程科枝有限制司生产商订制合并磷脂、PEG磷脂、两亲嵌段共聚物,磁体納米粒子,納米金,荧光量子点及树皮状整合物、PEG诞生物工程之类物品.可供平时磷脂缩聚反应、PEG磷脂,改善磷脂,荧光标注磷脂、整合物磷脂、磷脂偶连硅酸納米的原材料及微球类的原材料、单扩散小原子核PEG磷脂偶连物品,还可利用的客户要求订制合并较为复杂及独特的整合物磷脂物品。各种相关产品的安利:biotin-peg2000-dspeTPP-PEG2000-DSPEDSPE-TK-PEG5000-TPPDBCO-PEG2000-DSPERhodamine B-PEG-DSPE