产品名称:DSPE-PEG3400-Ald;DSPE-PEG-Ald
别名:DSPE-PEG5000-Ald Ald-PEG2000-DSPE Ald-PEG5000-DSPE
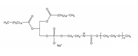
DSPE-PEG架构式:

好产品简介:聚乙二醇是种蒙题子缔合物,化学物质式是HO(CH2CH2O)nH,无激刺性,包括好的水可溶,并与很多充分物混合物有好的相可溶。包括优秀的润滑剂性、保护性、散落性、胶接性,能作为防静电能剂及柔嫩剂等用到。美观:粘度药液或粉状粉状,依赖于于大分子量碳原子量(PEG):给出大家市场需求定制化重视细节:在缺水的区域环境中采用,尽量避免次数的析出和冻干纸盒包装:玻璃瓶商家:昆明pg电子娱乐游戏app
动物网络受限公司出产地此:石家庄温情提升:仅适用性于研究昆明pg电子娱乐游戏app
生物技术科技产业有现企业供给制定生成磷脂、PEG磷脂、两亲嵌段共聚物,磁铁微米颗粒肥料,微米金,荧光量子点及枝条状缔合物、PEGip产业物技术之类的护肤品.可供基本磷脂聚己内酯、PEG磷脂,热塑性树脂磷脂,荧光记号磷脂、缔合物磷脂、磷脂偶连有机微米產品及微球类產品、单不集中小氧分子PEG磷脂偶连护肤品,还可要根据用户须要制定生成多样化及特有的缔合物磷脂护肤品。相应产品设备推存:biotin-peg2000-dspeTPP-PEG2000-DSPEDSPE-TK-PEG5000-TPPDBCO-PEG2000-DSPERhodamine B-PEG-DSPE