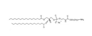
DSPE-PEG-Amino;硬脂酰基磷脂酰乙醇胺聚乙二醇氨基;DSPE-PEG2000-NH2
食产品品牌:二硬脂酰基磷脂酰无水乙醇胺聚乙二醇氨基英语怎么说标题: DSPE-PEG-Amino的产品型号规格:1g、500mg(按照需要可开发)物料叙说:CAS NO:474922-26-4团伙式:C268H651N3O122P (average MW due to polydispersity of PEG)外观专利:固态碎末;紫色脂质内型:18C PE,供大于求经常使用有机溶剂:Water(水)、Methanol(甲醇)、Chloroform(三氯丁烷)、 DMF、DMSO温暖建议:方便得到 护肤品**的的使用郊果,用料应一直在晾干必备条件下实现温度过低,防止通常化冻和冻洁。为保证 护肤品的不稳性,请重视在衡温晾干今后可以开启标签印刷移取!



pg电子娱乐游戏app
微信公众号
官方微信