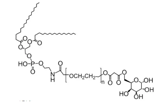
DSPE-PEG-Galactose;磷脂聚乙二醇半乳糖;磷脂PEG半乳糖
食产品明称称:二硬脂酰基磷脂酰无水乙醇胺聚乙二醇半乳糖国外英语名字号: DSPE-PEG-Galactose产品的型号规格:100mg、500mg(要根据需求可私人订制)物品描叙:外形:胶体碎末;黑色脂质形式:18C PE,达到饱和状态通用容剂:互溶二氯丁烷:甲醇=1:1



pg电子娱乐游戏app
微信公众号
官方微信