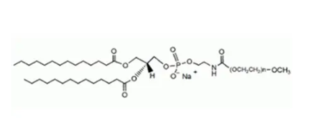
mPEG2000-DMPE,mPEG2000-双肉豆蔻磷脂的结构式
mPEG-DMPE都是种线型PEG磷脂,富含过饱和C14十四烷基肌肉酸(十四烷酸)。DMPE:1,2-1,2-二嘧磺酰-sn-甘油-3-磷酸甲醇胺,CAS:18194-24-6。某个聚乙二醇脂质免疫试剂属于红薯酸、棕榈酸、肉豆蔻年华酸、月桂酸和癸酸,和不过饱和肌肉酸(如油酰基)采用我门的定制化自动合成具备服务具备。mPEG磷脂可以选择于建成隐行脂质体,使用于靶向疗法给药和析出度减弱。英语怎么说简称:mPEG-DMPE中文字幕各称:甲氧基-聚乙二醇-双肉肉豆蔻磷脂酰工业乙醇胺碳原子量:1k,2k,3.4k,5k,10k,20k效率掌控:95%+存储器因素:-20°C,阴凉,避湿外部:粉色无水硫酸铜的化学结构式:



pg电子娱乐游戏app
微信公众号
官方微信