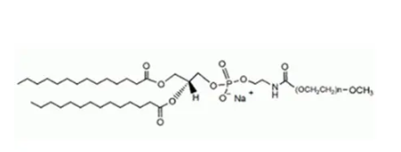
DMPE-mPEG MW:2000/二肉豆蔻酰基磷脂聚乙二醇
DMPE-mPEG 二肉肉豆蔻酰基磷脂聚乙二醇MW: 1000,2000,3400,5000,10000纯 度:≥95%保留状况:-20度保留,粗糙,背光。防止一直的解除冻结、急冻。性 状:纯白色或微呈黄色粉未剂型用 途:仅限科研课题科学实验动用,不用了于医治外 观:胶状夜体或许固状粉沫,决定于于原子核量注意力法定程序:拿取需要缺水,应对过多的分解和冻干。



pg电子娱乐游戏app
微信公众号
官方微信