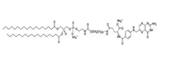
DSPE-PEG2K-FA 二硬脂酰基磷脂酰乙醇胺-聚乙二醇-叶酸;Folic acid-PEG-DSPE
英文版名号:DSPE-PEG-FADSPE-PEG-Folic acid简体中文公司名称:磷脂-聚乙二醇-叶酸片CAS:1236288-25-7原子量:1k,2k,3.4k,5k,10k,20k(可按需私人订制)质理调节:95%+数据库前提:-20°C,背光,避湿用 途:未经许可科技科学试验实用,要用于治疗外 观:乳白色透明液体或粉状粉沫,考量于原子量还要注意要点:倒取必定要空气干燥,避免出现次数的溶解完和冻干熔化分解性性:溶水大个部分有机酸溶液,如:DCM、DMF、DMSO、THF等一等。在水有很棒的熔化分解性性组成部分式:

相关产品:


pg电子娱乐游戏app
微信公众号
官方微信