DSPE-PEG2000-FA;磷脂-聚乙二醇-叶酸; 磷脂-PEG-叶酸
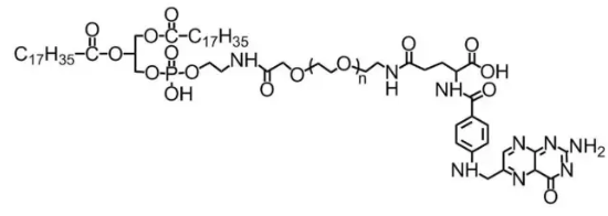
【软件称呼】 DSPE-PEG-FA、二硬脂酰基磷脂酰工业乙醇胺-聚乙二醇-孕妇DHA、磷脂-PEG-孕妇DHA英语种类:Folic acid PEG DSPE【车辆包装盒】100mg、500mg(可不同规定全屋定制年纪)【的产品宝贝详情】稀释剂:氯仿、二氯丁烷等基本充分稀释剂看:淡茶色或茶色咖啡豆原子量(PEG ):2000、3400、5000,其他的原子量可环保定制家具。为有效确保產品的稳界定高性,请重视在恒湿干而后才可以拆开包装机选用!【车辆代表】磷脂-聚乙二醇-DHA(DSPE-PEG-FA),羧基与氨基导出酰胺键,这家现象能让DHA配体黏附在蛋白酶质、外壁抗原、肽或粒子外壁。聚乙二醇化DHA具备着有效的水可溶和海洋生物制品工程活力性,DHA功效化底物已被代替靶向治疗给药、影像和海洋生物制品工程判断的激发。DSPE(1,2-二硬脂酰-sn-甘油-3-磷酸酒精胺)也是种是处于饱和状态的18碳磷脂,常代替脂质体的合成图片。聚乙二醇(PEG)偶联DSPE具备着亲水性树脂,可代替用药传承、人类基因转染和海洋生物制品工程原子体现。构成式



pg电子娱乐游戏app
微信公众号
官方微信