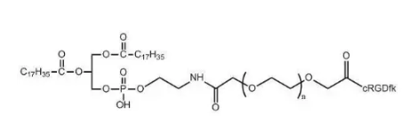
DSPE-PEG2000-cRGD,磷脂-聚乙二醇-靶向穿膜肽cRGD环肽
成品生物类型:DSPE(1,2-二硬脂酰-sn-甘油-3-磷酸甲醇胺)一种过饱和的18碳磷脂,最常用于脂质体的获得。聚乙二醇(PEG)偶联DSPE享有亲丙烯酸乳液。聚乙二醇能减弱熔化分解性和可靠性,削减通电的分子式界面非特异形融合,削减多肽的免疫性原性。DSPE-PEG-cRGD的采用:适用以胶束、囊泡的攻击靶点,拒绝靶点探索和用以中成药传输;适用以中成药传达、遗传基因转染和怪物分子结构遮盖;改进了软胶囊中成药的血夜循环往复周期和平稳性。结构类型式



pg电子娱乐游戏app
微信公众号
官方微信