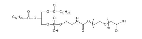
DSPE-PEG-COOH CAS:1403744-37-5 磷脂-聚乙二醇-羧基
货品短信:中文版分类:二硬脂酰基磷脂酰甲醇胺-聚乙二醇-羧基日语称谓:DSPE-PEG-COOHCAS No.:1403744-37-5英文怎么说学名:DSPE-PEG-Acid外觀:沾性溶剂或固态金属粉,在于于分子结构量熔化分解性:溶解大个部分有机肥料溶液,溶解水组成部分式:



pg电子娱乐游戏app
微信公众号
官方微信