mPEG-DSPE CAS:147867-65-0 甲氧基-聚乙二醇-磷脂
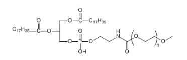
物品资料:汉语称呼:甲氧基聚乙二醇-1,2-二硬酯酰-SN-甘油-3-磷酰工业乙醇胺英文版名称大全:mPEG-DSPECAS No.:147867-65-0產品纯净度:≥95%外貌:延展性夜体或固态粉沫,在于于大分子量可溶性高,互溶水的性:互溶大部份有机化学溶液,互溶水格局式:



pg电子娱乐游戏app
微信公众号
官方微信