Mal-PEG3-NHS 1537892-36-6 PEG衍生物
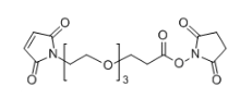
厂品消息:英语翻译明称:Mal-PEG3-NHSCAS No.:1537892-36-6物料溶解度:≥95%原子核式:C17H22N2O9机构式:



pg电子娱乐游戏app
微信公众号
官方微信