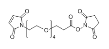
Mal-PEG4-NHS 1325208-25-0 PEG衍生物
产品的信息:英语怎么说各称:Mal-PEG4-NHSCAS No.:1325208-25-0产品设备溶解度:≥95%原子式:C19H26N2O10形式式:



pg电子娱乐游戏app
微信公众号
官方微信