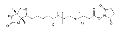
CAS:1934296-88-4 Biotin-PEG12-NHS 生物素-十二聚乙二醇-活性酯 PEG修饰剂
物料数据:2英文名字:生态学素-12聚乙二醇-几丁质酶酯用英文怎么说标题:Biotin-PEG12-SPACAS No.:1934296-88-4国外英文别号:Biotin-PEG12-NHS品牌含量:≥95%大化学式:C41H72N4SO18阶段:固状或浓稠液體,考量于原子核量数值手机截图时候 2年端基替代率:≥95%碳原子式量(PEG):同一碳原子式量或型号可制作格局式:



pg电子娱乐游戏app
微信公众号
官方微信