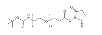
Boc-NH-PEG4-SPA 859230-20-9 叔丁氧羰基-四聚乙二醇-丙烯酸琥珀酰亚胺酯
好产品相关信息:中文名字:叔丁氧羰基-四聚乙二醇-丙稀酸蜜腊酰亚胺酯英文怎么说称呼:Boc-NH-PEG4-SPA
CAS No.:



pg电子娱乐游戏app
微信公众号
官方微信