cas:1381861-97-7C13-113-tetra-tail 阳离子类脂化合物
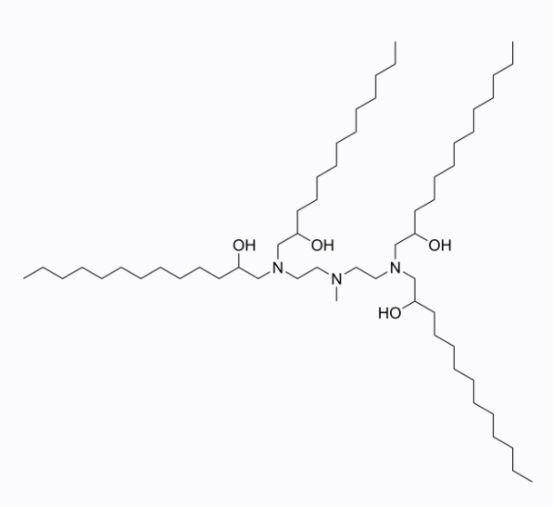
cas:1381861-97-7C13-113-tetra-tail 阳阴离子类脂无机化合物C13-113-tetra-tail 都是种阳铁离子类脂有机物,需用于自制脂质纳米级颗料。英文怎么说名字:C13-113-tetra-tail碳原子量:910.57化学结构式式:C57H119N3O4cas:1381861-97-7运载条件:室温运载存放方式方法4°C,密封带存放,离开潮气在高沸点溶剂中:-80°C,6月-20°C,1月(良好的密封性储放,沉迷于湿热)结构设计式



pg电子娱乐游戏app
微信公众号
官方微信