cas:464926-03-2 MVL5 一种DNA和siRNA载体
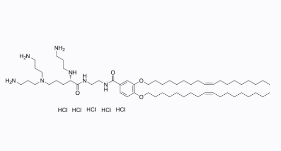
cas:464926-03-2 MVL5 这种DNA和siRNA平台MVL5 都是种不能够化学降解的多价阳正离子脂质。MVL5 都是种**的 DNA 和 siRNA 平台。国外英文种类:MVL5碳原子量:1164.86遗传性状:Oil分子结构式:C59H116Cl5N7O4cas:464926-03-2车辆车辆运输水平:常溫车辆车辆运输贮藏方案4°C,密封保管,避开寒湿在液体中:-80°C,6三个月-20°C,1三个月(良好的密封性永久保存,杜绝寒湿)机构式



pg电子娱乐游戏app
微信公众号
官方微信