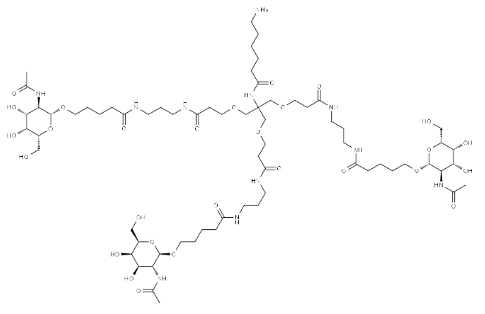
英文字母英文名字称:tri-GalNAc-hexamine
常用名 TRI-GALNAC-六胺
CAS号 1646198-77-7
团伙量 1528.73
强度 1.34±0.1 g/cm3(Predicted)
溶点 1718.5±65.0 °C(Predicted)
分子式 C67H121N11O28
使用用途:科研项目的情况:固态物/金属粉/悬浊液保留:冷冻供应信息:武汉pg电子娱乐游戏app
生物技术社会有限工厂英文工厂

Tri-GalNAc-Hexamine 是一款 种兼具糖基体现的药剂学物质,广泛性用到糖海洋生物、口服药物递送或糖肽制作而成等实验邻域。它是由这几个GalNAc(N-乙酰半乳糖胺)單元与一款 六氨基(Hexamine)分子结构式进行药剂学接而成。GalNAc是糖胺聚糖(如糖胺聚糖感觉)中的普遍糖單元,而Hexamine(六氨基药剂学物质)往往用到可以提供氨基基团,于是用到与其他分子结构式或药剂学物质的接想法。设计与本质特征GalNAc(N-乙酰半乳糖胺):GalNAc也是种根本的N-乙酰化糖单元尺寸,大范围会有于糖元单质中。它在糖肽、糖蛋白质等生物技术大分子中起着主要的效果,特别是在在血细胞认别和糖链突显中演过根本英雄。Hexamine(六氨基有机化合物):Hexamine是指四个氨基基团,大部分广泛用于提拱影响迟钝性氨基,会与同一原子核造成热塑影响迟钝。采用这个氨基化呈现,也可以怎强原子核在化学反應影响迟钝中的可溶性。应用领域
糖肽合成:
Tri-GalNAc-Hexamine常用于糖肽的合成,尤其是在需要将GalNAc单元与其他化学基团或分子连接时。通过六氨基(Hexamine)提供的氨基基团,能够在糖肽合成中实现更高的选择性和效率。
糖生物学研究:
GalNAc作为糖类分子的一部分,广泛参与细胞识别、糖蛋白修饰等生物过程。Tri-GalNAc-Hexamine可用于研究糖类分子在细胞中的作用及其与糖类受体的相互作用,尤其在糖胺聚糖与细胞表面受体的结合研究中具有重要应用。
靶向药物递送:
通过将Tri-GalNAc-Hexamine与药物分子、抗体等结合,可以实现靶向药物递送。GalNAc的存在使其能够与特定的糖类受体(如肝脏中的Asialoglycoprotein Receptor)进行靶向结合,从而增强药物在目标部位的积累与效应。
相关的推存:芘丁酸酯聚乙二醇羟基,Pyrene-PEG-OHCLS-PEG-FITC,胆固醇升高-聚乙二醇-荧光素CLS-PEG-Biotin,蛋白质-PEG-生物技术素CLS-PEG-DBCO,胆固-PEG-二苯基环辛炔CLS-PEG-Silane,高胆固醇的食物-PEG-三乙氧基硅烷CLS-PEG-SAS,高密度脂蛋白-PEG-酰胺蜜腊酰亚胺丁二酸酯CLS-PEG-Mal,碳水化合物-PEG-马来酰亚胺CLS-PEG-AcA,丙烯酰胺聚乙二醇高密度脂蛋白蛋白质聚乙二醇叠氮,CLS-PEG-N3CLS-PEG-SH,热量-聚乙二醇-巯基碳水化合物聚乙二醇氨基,CLS-PEG-NH2CLS-PEG-AA,甘油三酯-PEG-乙酸胆固聚乙二醇羟基,CLS-PEG-OH