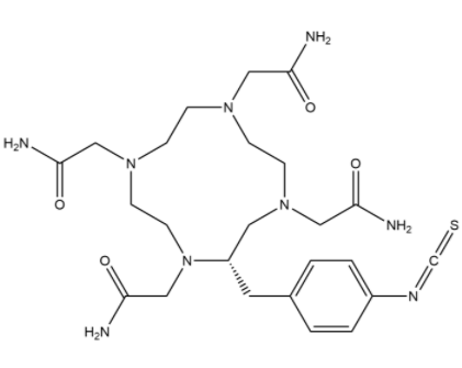
英文名 p-SCN-Bn-TCMC
CAS号 2780352-89-6
分子量 547.68
密度 1.38±0.1 g/cm3(Temp: 20 °C; Press: 760 Torr)(Predicted)
沸点 882.6±65.0 °C(Predicted)
分子式 C24H37N9O4S
熔点 N/A

p-SCN-Bn-TCMC,全名叫 p-isothiocyanatobenzyl-TriCarbamoylMethylCyclen,也是种用途化的多齿螯合配体,属环状四齿氮配体具象化物。它由四氮环机构(Cyclen)具象化而得,一个氮分子实现羧甲基化表达型成羧酰基,搭建三羧酰甲基化环状机构,而使增強其对金属件铝离子的络合力。该有机化学物质的苯基端有 异硫氰酸基团(–N=C=S),使其可实现共价途径与胺类有机化学物质型成维持的硫脲键,此反應的高特女性朋友和吸收率高率使其在有机化学和原管理科学有效中大量适用。无机化学设备构造上,p-SCN-Bn-TCMC 的特色是:四齿氮环组成部分(Cyclen):出示稳定性性的螯合室内环境,可与四种衔接金屬和放射学性金屬组成高宽比稳定性性的听取物。三羧甲基绘制:促进了配体的水可溶性和螯合工作能力,直接能够 羧风格节轻金属配位结合和相对稳相关性。p-异硫氰酸苯基:带来了需用于海洋生物团伙结构呈现的灵活性位点,可与含氨基的团伙结构(如血清质、肽链、核酸呈现场面描写)来进行共价衔接。在化工应运部分,p-SCN-Bn-TCMC 常被在:功效化配体系备:在其异硫氰酸基,可将 TCMC 骨架调整到多有机的大分子结构或高大分子结构支架子上,为进几步配位塑料正离子给出影响性位点。重合金材料配位化工:TCMC 骨架对重合金材料阳离子的络合业务能力强大,特别是最适合与稀土矿重合金材料、接合重合金材料及部分牵扯性重合金材料产生高维持性挽回物。从外层能化学物质渗透型:凭借硫脲键与膜蛋白从外层能的氨基共价依照,可提纯系统化从外层能涂料、感测器器软件界面或配体呈现納米颗粒肥料。关于网友推荐:AF532记号春小麦胚芽凝集素(WGA)AF532 mal,AF532 马来酰亚胺AF488 WGA,AF488标出春小麦胚芽凝集素AF488 WGA,Alexa Fluor WGAAnnexin V-AF488标记图片AF488标签链霉亲和素偶联物鬼笔环肽-AF488标记图片AF488 TCO,AF488 反式环辛烯AF488 醛,Alexa Fluor 488 醛AF488-图标羊抗鼠免役球核蛋白(H+L)