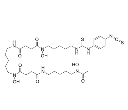
英文名 p-SCN-Bn-deferoxamine
CAS号 1222468-90-7
分子量 752.94
分子式 C33H52N8O8S2
的用途:科研管理环境:胶体/粉沫/氢氧化钠溶液保管:冷库产生:昆明pg电子娱乐游戏app
生物学科枝非常有限新公司

p-SCN-Bn-Deferoxamine(苯基异硫氰酸酯-去铁胺具象化物)也是种实用能力化的螯合剂具象化物,其关键氧原子核为去铁胺(Deferoxamine, DFO),能够 苯基桥接并引用异硫氰酸基(-SCN),成型可与胺基氧化物展开选购性共价偶联的物理化学物质工貝。其氧原子核节构紧密结合了去铁胺的多齿螯合力量与SCN官能团的高响应性,在物理化学物质偶联和实用能力化氧原子核创设中极具极为重要使用价值。生物设计与特征去铁胺中心:DFO团伙由多羟基和羧胺基組成,要能与金屬阳离子(更是是三价铁)行成平衡螯合结合物,提拱物理平衡性和金屬抓取能力素质。苯基桥接:苯基为刚需无线连接方式桥,赋于原子格局一定程度地方格局,能够无线连接方式另外的催化单元测试卷或大原子格局,与此同时为SCN体现位点打造催化可及性。异硫氰酸尾端(SCN):SCN官能团可与胺基反馈变成可靠的硫脲键,使p-SCN-Bn-Deferoxamine拥有有效的电学偶联生化试剂。水析出性与运作方法性:氧分子整体化在有机肥料或水相装修标准中有着比较好析出性,可在和气要求下保持胺基偶联作用,运作方法便民。电学反馈性胺基偶联:SCN基团可与一阶胺有响应,转化不稳定性硫脲键,比较合适药剂学偶联和能力化氧分子构筑。废重金属材料螯合:DFO有些可养成高不稳性的废重金属材料复合材料物,用在建立废重金属材料配位系统或功能表化原子网络平台。桥接与特点模块化:苯基桥接打造发展空间基础,使原子核可以多特点模块连接方式、热塑影响或多原子核折装。相应的个性化推荐:Tide Quencher 4WS alkyneTide Quencher 4WS azideTQ4WS NHS ester荧光淬灭剂Tide Quencher 4WS马来酰亚胺Tide Quencher 4 CPGTide Quencher 4WS amineTide Quencher 4WS acidTide Quencher 2WS MALTide Quencher 2WS NHSTide Quencher 2WSDABCYL DBC淬灭剂QXY21 NHS esterQXY2-淬灭剂,QXY21Helix Fluor 545,N-羟基虎珀酰亚胺酯Cell-Tracker Red CMTPX