英文名称: DPPE-Azide
中文名称: DPPE-AZIDE
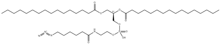
MF: C43H83N4O9P
MW: 831.13
CAS: 2252461-33-7
使用:科技研究感觉:固态物体/碎末/水溶液留存:保鲜冷库出售:昆明pg电子娱乐游戏app
生物工程科枝有限品牌品牌

DPPE-Azide 就是一种用途化磷脂衍化物,由二棕榈酰磷脂酰乙酸乙酯胺(DPPE, 1,2-dipalmitoyl-sn-glycero-3-phosphoethanolamine)进行共价对接装饰为下端叠氮基(–N3, azide)变成。该原子核整合了磷脂的双亲性自组装流水线本事与叠氮基的怪物技术正交点击事件作用基本特征,普遍操作于脂质体、膜管理体制、nm顆粒、怪物技术原子核用途化记号理论研究。DPPE-Azide 的设计制作发展理念举例说明进行脂质放到膜空间结构,同時能提供高作用性且选取性的叠氮基位点,变现无刺激、更高效的原子核偶联和用途化。
检查是否节构上,DPPE-Azide 留存了 DPPE 的二条棕榈酸人体脂肪链和磷酸工业乙醇胺头顶,彰显大分子式的结构类型的亲水-亲脂双亲性,使其能在水相中自装配建成脂质体、单大分子式的结构膜或脂质单层节构。末梢叠氮基用被动式拼接臂与 DPPE 连到,可在 SPAAC(Strain-Promoted Azide-Alkyne Cycloaddition)或 CuAAC(Copper-Catalyzed Azide-Alkyne Cycloaddition)的条件下与炔基实用基本功能大分子式的结构不起作用,建立性情温和、高效率的且特情人的偶联。一种设计制作使 DPPE-Azide 在膜网络体系和奈米质粒实用基本功能化中体现了显著性优劣势。
在催化材质层面,DPPE-Azide 为淡橙黄色至浅深棕色固状,可不能溶解有机酸高沸点溶剂如二甲基亚砜(DMSO)、乙腈(ACN)、甲醇(MeOH)等,并可在储存液或脂质体工作指标体系中分发型散。叠氮基官能团在一般的中性储存液中不安全性,在光或热状况下可参与的打开网页生理反应,满足与炔基大分子结构式的快速偶联。DPPE 的碳水化合物酸链拥有大分子结构式在膜工作指标体系和脂质体中的不安全性内嵌,使偶联后的作用化大分子结构式够保护膜完整的性及菌物吸附性。涉及到的介绍:AF 343 (香豆素) X催化活性酯,946123-12-2Monobromobimane,71418-44-51426090-03-0,硅基罗丹明-羧基cas:335193-70-9,BDP R6G可溶性酯2415263-07-7,沙利度胺-胺基Cy7 phosphoramidite,CY7亚磷酰胺cas:1025796-31-9,tert-Butyl-DCL (PSMA inhibitor)CY3亚磷酰胺,182873-76-31396969-23-5,荧光素酪胺THP(BZ)3-Amine,827331-42-0