英文名称: DPPE-Alkyne
中文名称: DPPE-ALKYNE
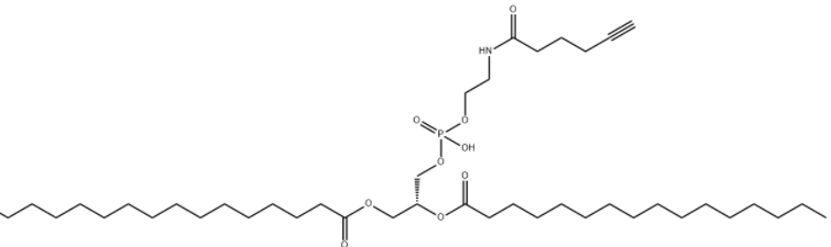
MF: C43H80NO9P
MW: 786.07
CAS: 2260670-39-9
应用场景:科研项目工作状态:胶体/粉未/硫酸铜溶液保护:冷库产生:昆明pg电子娱乐游戏app
菌物新材料技术有限制工司

DPPE-Alkyne 也是种基本功能化磷脂具象化物,将二棕榈酰磷脂酰乙酸乙酯胺(DPPE, 1,2-dipalmitoyl-sn-glycero-3-phosphoethanolamine)与端部炔基(–C≡CH, alkyne)依据共价连结掩盖而成。该氧团伙格局联系了磷脂的双亲性自装设性能与炔基的生态学体正交点击量反响性能,广泛运用运用于脂质体、膜体制、奈米颗粒物性能化及生态学体氧团伙格局记号探讨。DPPE-Alkyne 的制作价值取向重要凭借脂质内嵌膜格局,一同供给高速活力性且进行性的炔基位点,构建温顺、便捷的氧团伙格局偶联。
电化学的构成上,DPPE-Alkyne 保存了 DPPE 的三条棕榈酸蛋白质链和磷酸工业乙醇胺顶级,体现原子核具代表性的亲水-亲脂双亲性,使其还可以在水相中自按装达成脂质体、单原子核层或脂质两层的构成。尾部炔基采用柔软性进行连接臂与 DPPE 相互,可在 SPAAC(Strain-Promoted Azide-Alkyne Cycloaddition)或 CuAAC(Copper-Catalyzed Azide-Alkyne Cycloaddition)经济条件下与叠氮(azide)特点原子核影响,做到温暖、高质量且炎症因子朋友的偶联。此设置使 DPPE-Alkyne 在膜标准体系和納米各种载体特点化中包括相关系数优势。
在化学工业响应类型方便,DPPE-Alkyne 为淡紫色至浅深褐色物质,溶解于生产萃取剂如二甲基亚砜(DMSO)、乙腈(ACN)、甲醇(MeOH)等,并可在抗震液或脂质体保障标准中分头散。炔基官能团在中性化抗震保障标准中不稳,可对其进行鼠标单击化学工业响应响应,响应平稳且选取性好。DPPE 的多余脂肪酸链可以保障了氧原子在膜保障标准和脂质体中的不稳嵌到,使偶联后的模块化氧原子是可以保持良好膜全版性及海洋生物灵活性。重要性推建:FAM叠氮5-异构体ATT 594叠氮,ATT 594 N3ATT 565 叠氮,ATT 565 N3AF594叠氮,AlexaFluor 594 azidecas:114932-60-4,芘羧酸活性酶类酯2129651-79-0,HEX NHS ester,6-isomerBDP R6G活性酶类酯,335193-70-9AF 488 四氟苯基酯,2133404-55-2AF 343 (香豆素) X活性酶类酯,946123-12-2Monobromobimane,71418-44-5