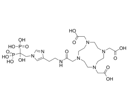
英文名 DOTA Zoledronate
CAS号 1908409-18-6
分子量 701.56
密度 1.7±0.1 g/cm3
沸点 N/A
分子式 C23H41N7O14P2

DOTA Zoledronate是另外一种种的系统模块化螯合化学物质,其组成相结合了DOTA(1,4,7,10-四氮杂环十三烷-N,N′,N″,N‴-四乙酸)环和唑烷二膦酸(Zoledronate)双重性基团,导致另外一种多的系统模块大碳原子方式。DOTA局部看作多齿螯合剂,可以不变,避免后期使用时出现晃动影响体验效果捕捉所有合金材料阴阴离子,还包括过渡期合金材料和稀土元素合金材料,导致不稳定性的合金材料合作物。唑烷二膦酸局部则包含有几个磷酸基团,彰显大碳原子极度的亲水、对合金材料阴阴离子或另外正自由电荷中的强亲合力。一体化大碳原子设置权衡了螯合力和大碳原子的系统模块化实力。在有机物理化学构成上,DOTA Zoledronate展显现出双功能性特点。一立方米面,DOTA环构成作为了四齿氮杂环和十个羧酸基团,要能产生多齿动态平衡的螯合软型物;另外一个立方米面,唑烷二膦酸基团凭借动态平衡的碳-磷键与DOTA接,一并作为其他的的含酸性官能团,使碳原子在水相中显现强些的旋光性和析出性。碳原子大体显显现出较高的动态平衡性和硬性构成,使其在有机物理化学不起作用和储藏状况下要能控制构成完整性。DOTA Zoledronate的镶嵌经常经过多步生物碳生物的方法通过。1,经过DOTA前体的羧酸产甲烷,将唑烷二膦酸具象化物共价链接至DOTA环尾部。想法中经常所按照碳二亚胺类或N-羟基琥铂酰亚胺(NHS)等产甲烷电化学药品,以提高认识酰胺化想法快速做完,并以免对磷酸基团带来损伤。一小部分镶嵌具体步骤需严格规范管理溫度、容剂及pH值,以维持终究副物品的高溶解度和生物完整的性。副物品纯化多所按照快速液质色谱(HPLC),并经过质谱(MS)或核磁共振检查现象(NMR)对组成通过证明。在化学物质属性这方面,DOTA Zoledronate表演出超高的水溶解性和热安全维持性高处理。DOTA环的多齿螯合意识赋予了其与好几种不锈钢材质亚铁离子转变成安全维持性高协助物的意识,而唑烷二膦酸的磷酸基团则进十步激发了分子式结构的不锈钢材质判断力,使其在缜密液体场景下仍能长期保持螯合安全维持性高处理。虽然,磷酸基团与DOTA环充分使用,使分子式结构在水液体中表现出务必的3d立体钢度,有益转变成可预估的三维空间构型。有关系推送:拮抗剂多肽BALIXAFORTIDE,1051366-32-5,Balixafortide特异克中药制剂多肽,478188-26-0,DX6001334237-71-6,Etelcalcetide HCl自动合成抑菌肽Cyclo(RRRRRRR),NP213 TFA另外一种字段多肽2022956-43-8,Cyclo(-Gly-Arg-Gly-Glu-Ser-Pro)一种生活多肽生化试剂135432-37-0,CYCLO(-GRGDSP)862772-11-0,cyclo(Arg-Gly-Asp-D-Phe-Cys)