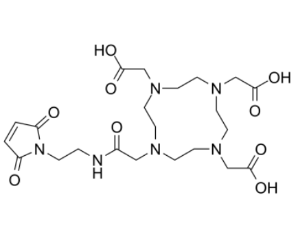
英文名 Maleimide-DOTA
CAS号 1006711-90-5
分子量 526.54
分子式 C22H34N6O9

DOTA Maleimide就是一项系统化螯合剂团伙,其化工的结构将DOTA(1,4,7,10-四氮杂环十三烷-N,N′,N″,N‴-四乙酸)与马来酰亚胺(maleimide)基团用共价键接触,构成一项集于一身金屬阳离子螯合性能和特异反馈性的团伙机器。DOTA这部分为四齿氮杂环格局,环上无线接连十个羧酸基团,还可以稳定的地采集各类合金铁离子,涉及到长见的接合合金和稀士合金。马来酰亚胺基团则提供了间距完成性的硫醇响应亲水性,可使DOTA Maleimide还可以采用共价键与含巯基的碳原子完成定项无线接连。在氧原子核结构设计上,DOTA Maleimide具备有清新的双性能性。左端DOTA环状设计为多齿螯合体,确立氧原子核结构角度的金属材料阳离子责任心和相对不稳的螯合性能;另左端马来酰亚胺基团依据不趋于不稳碳-碳双键与硫醇基团建成相对不稳的共价硫醚键,导致实行高特情人的氧原子核结构接合。建筑体氧原子核结构表流露出出不弱的电学性质,在羧酸基团的更具,使其在水相中具备有较好的熔化分解性,一同实现适时的电学相对不稳性。DOTA Maleimide的镶嵌基本从DOTA前体到达,在羧酸活性和胺反馈将马来酰亚胺引用原子尾部。主要作业中,可能主要采用N-羟基虎珀酰亚胺(NHS)或碳二亚胺类化学药品活性羧酸基团,其次与含胺的马来酰亚胺并衍生物进行酰胺化反馈,决定取得制定目标副产物。某个分解具体步骤需严苛有效控制相转移催化剂体系建设、平均温度及现象的时间,以为了保证马来酰亚胺基团的催化活性不被损伤,时候得到 高色度的螯合剂。有机物纯化基本选择效率高效液相色谱(HPLC)技术工艺,并实现质谱(MS)或核磁振动(NMR)判断的结构全部性。各种相关分享:143578-65-8 环二肽CYCLO(HIS-PRO),环状二肽53109-32-384211-54-1,不错抑素蛋白激酶 (SSTR1) 数据信息减弱生長抑素创新多肽496849-46-8环二肽20829-53-2,cyclo(Trp-Tyr)Cyclo(L-Trp-L-Trp),环状肽20829-55-4