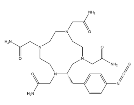
英文名 p-SCN-Bn-TCMC
CAS号 2780352-89-6
分子量 547.68
密度 1.38±0.1 g/cm3(Temp: 20 °C; Press: 760 Torr)(Predicted)
沸点 882.6±65.0 °C(Predicted)
分子式 C24H37N9O4S

软件应用方法1. 材料螯合APP构筑TCMC是与放射学性材料铁离子(如 ^177Lu、^212Bi、^213Bi、^225Ac 等)构建的首要配体一个,p-SCN-Bn-TCMC在联接端注入了可反响的官能团,使其更易于在很多种平墙上做到便捷固定不变材料的功能键。2. 的功能文件淡化p-SCN-Bn-TCMC 可与平台食材(如缔合物粒子、脂质体、nm食材等)外面上的氨基来连结,而给以上食材以塑料螯合工作能力。适用性于实现智力响应的食材、靶向疗法面部识别食材或塑料可视化数据食材等。3. 偶联动物氧分子异硫氰酸苯基设备构造可与抗体阳性、多肽、蛋清质等生物工程大团伙根据赖氨酸残基产生共价键;连入后的动物大原子核具备铝合金融合功能模块,可进一个步骤广泛用于示踪、显像、剥离等软件应用;在纳米科技海洋生物科技和原子核自动识别区域有普遍用处。p-SCN-Bn-TCMC 都是种最有市场价值的作用化铝合金螯合配体,其将高不稳的TCMC骨架与异硫氰酸基资源整合于分立式,使其不只是要具备市场大的的铝合金运用作用,还可使用无刺激條件与好几种含氨基的原子核便捷偶联,非常广泛APP于靶点原料营造、示踪标记、原子核电极、納米体统等若干范畴。关与我们的:宝鸡pg电子娱乐游戏app
海洋食品科学产业比较十分有限企业一家从事专业原材药、MOF,铁离子夜体 ,PEG衍海洋生物学、研制实验试剂、多肽、光电子相关村料、碳微米技术管、微米技术相关村料、脂质体、制成磷脂的研制、全屋定制制成、种植和营销的高科学产业海洋食品科学产业比较十分有限企业重要性推存:荧光酪酰胺缀合物,iFluor 594 Styramide7298-65-9,荧光素二丁酸酯荧光有机染料-FAM,204697-37-0,5'荧光素氨基磷酸酯iFluor 555 StyramideiFluor 546 StyramideiFluor 488 StyramideiFluor 350 Styramide,iFluor 350 PSACyanine7-Styramide,花青素Cy7 Styramide