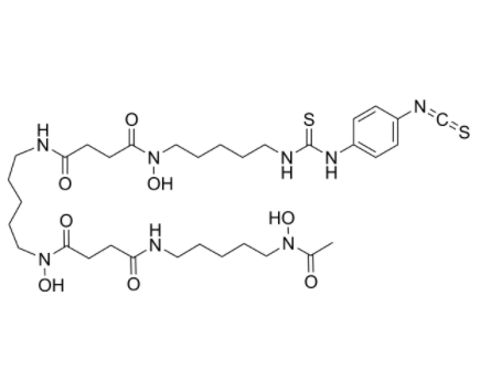
英文名 p-SCN-Bn-deferoxamine
CAS号 1222468-90-7
分子量 752.94
分子式 C33H52N8O8S2

功能键基本特征p-SCN-Bn-Deferoxamine 的竞争优势在与将多种重中之重电学性溶合于某个碳原子中:1. 合金金属螯合功效DFO大部分存在数个羟胺(–NH–OH)基团,可与许多种三价或四价塑料正离子出现八配位或六配位的保持平衡可靠螯合物。其螯合保持平衡可靠常数如此高,尤为适合于对螯合保持平衡可靠性需求极低的保障体系。2. 共价偶联的能力p-SCN-Bn 端基的异硫氰酸基团(–N=C=S)可与血清质、外表面抗原、肽、配位高碳原子化合物外表面的游离于氨基(–NH₂)想法,形成稳定性高的硫脲键。这样的想法高效能、选定性强,是实现生物制品偶联碳原子的措施。软件方向上会因为其不锈钢螯合工作能力与偶联抗逆性,p-SCN-Bn-Deferoxamine 很广使用于两个前列层面,愈加在的原材料生物学与探讨科学实验中情况出整体实力强大的能力性。1. 螯合标示的载体的建立它常被来用作将五金材料铝离子(如 ^89Zr、Ga³⁺ 等)标上到某种的载体原子核上,如缩聚物、血清质、微米粒子束等,形成了暗含五金材料核心思想的性能原子核,用以示踪、追踪定位或反映性辨识等钻研。2. nm资料职能化在纳米级级技能中,p-SCN-Bn-Deferoxamine 可以于突显塑料纳米级级颗料、量子点或磁块建材,使其包括塑料吸特性或进每一步微生物能力化的实力。3. 高进行性彩石气体吸附剂发掘该氧分子可当为那种螯合职能机组被放入到膜的材料或多孔手机网络成分中,用做删去或离心分离水、情况样板或企业机制中的最终目标塑料正离子。4. 轻金属标签纸讯号建设方案在或者深入分析装修标准中,它可与材料亚铁离子综合后展示其中一个很强烈4g4g信息,假如射线性4g4g信息、荧光4g4g信息或质谱出现异常,很广用以材料测试探针设计规划和图标表现。涉及到的引荐:DOTA大环单质,204318-14-9,DOTA-(酪氨酸3)-奥曲肽第十五肽DOTA-LGEYGFQNALIVR,1262403-92-8DOTA-FYLEHPSGGLAV-OHDOTA-E「cyclo(RGDfK)2」七肽DOTA-VLASSAR,1262403-90-6一种生活多肽分子式,1262403-91-7,螯合物前体肽七肽Z-GGRDOTA,1180007-00-4901444-63-1