金刚烷-聚乙二醇-透明质酸 Ad-PEG-Hyaluronic acid 透明质酸-PEG2k-金刚烷
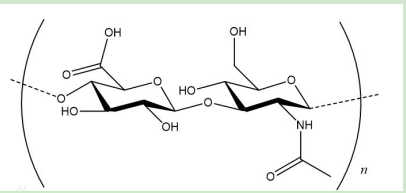
金刚烷-聚乙二醇-无色质酸 Ad-PEG-Hyaluronic acid 无色质酸-PEG2k-金刚烷汉语称呼:金刚烷-聚乙二醇-全透明质酸酶 用英文怎么说英文名称:Ad-PEG-Hyaluronic acid饱和度:95%+保存條件:-20°C,背光,避湿外观专利:固态物体或磁性液,依赖于于碳原子量PEG大分子量待选:350、550、750、1k、2k、34k、5k包装设计:单瓶/整袋析出性:不能溶解出来大部门生产萃取剂,如:DCM、DMF、DMSO、THF的。在水中含非常好的析出性重视情况说明:运用需要太干,防止高频的容解和冻干半乳白色质酸酶,称之为玻尿酸注射高,碳原子式是(C14H21NO11)n,是D-金刚烷醛酸及N-乙酰葡糖胺组合的双糖标准糖胺聚糖。银川pg电子娱乐游戏app
生物技术还可不可以提拱PEG接枝掩盖金刚烷,金刚烷-聚乙二醇-半乳白色质酸酶,Hyaluronicacid-PEG-Ad,半乳白色质酸酶-PEG-金刚烷黑色质酸结构的式:



pg电子娱乐游戏app
微信公众号
官方微信