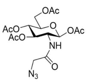
857677-98-6,1,3,4,6-四-O-乙酰基-2-脱氧-2-[(2-叠氮乙酰基)氨基]-β-D-吡喃葡萄糖-pg电子娱乐游戏app
糖化学试剂
西安市pg电子娱乐游戏app
生物体新材料技术比较公司官网营运的类产蔬菜品分类分为有:合成视频磷脂、100氧分子式聚乙二醇研究物体、嵌段共聚物、带磁nm颗粒物肥料、nm金及nm金棒、近红外荧光染剂、催化活性荧光染剂、荧光标记符号物、球核蛋白热塑剂、小氧分子式PEG研究物体、点计耐腐蚀类好的产品、枝干状缩聚物、环糊精研究物体、大环配体类、荧光量子点、透明色质酸研究物体、納米材料或硫化納米材料、碳nm管、富勒烯,二硫化硅及介孔二硫化硅,缩聚物微球,近红外荧光染剂,聚苯乙稀微球,上转成nm会发光颗粒物肥料,MRI核磁造影类好的产品,荧光球核蛋白及荧光测试探针等一下

![857677-98-6,1,3,4,6-四-O-乙酰基-2-脱氧-2-[(2-叠氮乙酰基)氨基]-β-D-吡喃葡萄糖-pg电子娱乐游戏app
糖化学试剂-UDP糖丨MOF丨金属有机框架丨聚集诱导发光丨荧光标记推荐西安pg电子娱乐游戏app
生物](/images/logo.png)

pg电子娱乐游戏app
微信公众号
官方微信