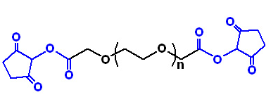
SCM-PEG-SCM 双琥珀酰亚胺羧甲基酯聚乙二醇 SCM-PEG2000-SCM 琥珀酰亚胺羧甲基酯PEG琥珀酰亚胺羧甲基酯
SCM-PEG-SCM 双蜜腊酰亚胺羧甲基酯聚乙二醇 SCM-PEG2000-SCM 蜜腊酰亚胺羧甲基酯PEG蜜腊酰亚胺羧甲基酯一般企业信息中文字幕品牌:虎珀酰亚胺羧甲基酯聚乙二醇虎珀酰亚胺羧甲基酯简体中文俗名:蜜腊酰亚胺羧甲基酯PEG蜜腊酰亚胺羧甲基酯英文版名号:SCM-PEG-SCM



pg电子娱乐游戏app
微信公众号
官方微信