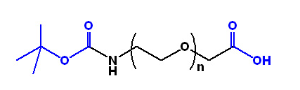
Boc-PEG-COOH,Boc-NH-PEG-Acid,叔丁酯聚乙二醇羧基,Boc聚乙二醇衍生物(Boc-PEG-X)
大致短信英语名字公司名称:叔丁酯聚乙二醇羧基中文字幕俗称:叔丁酯PEG羧基英语怎么说品牌:Boc-PEG-COOH,Boc-NH-PEG-Acid



pg电子娱乐游戏app
微信公众号
官方微信