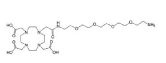
NH2-PEG4-DOTA,氨基连接四聚乙二醇DOTA衍生物双功能螯合剂
英语翻译名:NH2-PEG4-DOTA无机化学方程式:C29H46N6O9电学名字:2,2′,2”-(10-(17-amino-2-oxo-6,9,12,15-tetraoxa-3-azaheptadecyl)-1,4,7,10-tetraazacyclododecane-1,4,7-triyl)triacetic acid分子式量:622.71外形:洁白颗粒。出售商:银川pg电子娱乐游戏app
微生物信息技术比较有限工厂成分式:



pg电子娱乐游戏app
微信公众号
官方微信