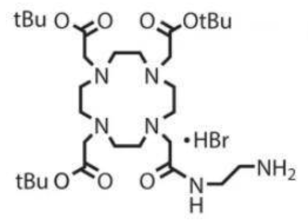
DO3AtBu-N-(2-aminoethyl)ethanamide,CAS:173308-19-5
国外英语名稱:2-Aminoethyl-mono-amide-DOTA-tris(t-Bu ester)化学上的式:C30H58N6O7·HBr催化称呼:1,4,7,10-Tetraazacyclododecane-1,4,7-tris(t-butyl-acetate)-10-(aminoethylacetamide)原子核量:695.7CAS:173308-19-5色度:≥ 94%构造式:



pg电子娱乐游戏app
微信公众号
官方微信