p-NCS-Bz-DOTA-GA
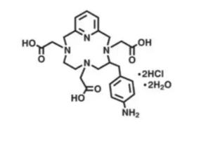
英语翻译名:p-NH2-Bn-PCTA物理化学方程式:C24H31N5O6·2HCl·2H2O生物学简称:3,6,9,15-Tetraazabicyclo[9.3.1] pentadeca-1(15),11,13-triene-4-S-(4-aminobenzyl)-3,6,9-triacetic acid原子量:594.5CAS:2125661-64-3含量:≥ 99%设计式:

协助物由内界和外人两个位置组进行成。内界为协助物的特点位置(即配位工商户),是个在水溶液中相当的稳定性高的纵向,在协助物的检查是否式中以方括号标记。方括号本身的阴阳正阳离子购成协助物的外人,内界与外人互相以阴阳正阳离子键切合。内界与外人阴阳正阳离子所需电荷量的总数成正比,字母符号相反的成语。很明显谁,比较适中配位工商户只要内界,找不到外人。关联產品:Gd-DOTA CAS:72573-82-1Tm-DOTP CAS:30859-88-8Tm-DOTMA CAS:2126179-30-2Eu-DOTA-4AmC CAS:481668-57-9Tm-p-SCN-Bn-DOTA CAS:2126179-32-4Gd-p-SCN-Bn-DOTA CAS:2126179-26-6Ho-p-SCN-Bn-DOTA CAS:2126179-28-8Tm-Maleimido-DOTA CAS:1552305-24-4产家:西安市pg电子娱乐游戏app
生物技术科学技术受限新公司保存期限:在一年导出:冰箱和谐信息提示:未经许可研发,不许用以人体肌肉试验