PMMAnBuAran 聚甲基丙烯酸甲酯共丙烯酸正丁酯 无规共聚物
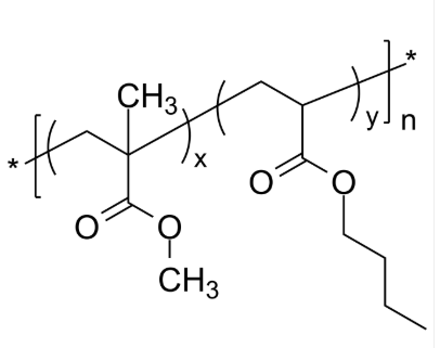
中文版标题:聚甲基丙稀酸甲酯共丙稀酸正丁酯英文音标英文缩写:PMMAnBuAran日文称怎么读:Poly(methyl methacrylate-co-n-butyl acrylate), randomCAS号:n/a; PMMA: 9011-14-7; PnBuA: 9003-49-0氧化学结构式:[(C5H8O2)x(C7H12O2)y]n主链构造:无规共聚物一般化学物质:PnBuA亲疏水溶性:疏水护肤品种型:基本蒙题子荧光/出现发亮:无外装/价值形式:nvme固态金属粉或颗粒剂(以合理外装为界)纯净度:≤ 100%型式式:



pg电子娱乐游戏app
微信公众号
官方微信