PMAAAran 聚丙烯酸甲酯共丙烯酸 无规共聚物
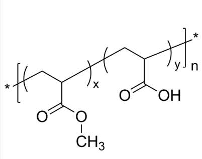
中文版命名:聚亚克力酯甲酯共亚克力酯用英文怎么说名字简称:PMAAAran英语怎么说全名是:Poly(methyl acrylate-co-acrylic acid), randomCAS号:n/a; PMA: 9003-21-8; PAA: 9003-01-4分子结构式:[(C4H6O2)x(C3H4O2)y]n主链组成部分:无规共聚物核心材料:PAA亲疏水性树脂:亲水车辆的类型:常见拿纤维材料结构荧光/会亮:无美观/行态:固定粉沫或顆粒(以实际上美观应写)纯净度:≤ 100%组成式:



pg电子娱乐游戏app
微信公众号
官方微信