PtBuAAAran 聚丙烯酸叔丁酯共丙烯酸 无规共聚物 Poly(tert-butyl acrylate-co-acrylic acid), random
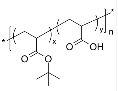
繁体中文各称:聚丙稀酸叔丁酯共丙稀酸英语怎么说简写:PtBuAAAran英文字母全名:Poly(tert-butyl acrylate-co-acrylic acid), randomCAS号:n/a; PtBuA: 25232-27-3; PAA: 9003-01-4大化学式:[(C7H12O2)x(C3H4O2)y]n主链设计:无规共聚物首要化学成分:PAA亲疏水溶性:亲水厂类目型:常規拿高团伙荧光/带光:无看/形态特征:nvme固态粉状或颗料(以实计看为界)色度:≤ 100%组成式:



pg电子娱乐游戏app
微信公众号
官方微信