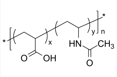
PAANVAran 聚丙烯酸共(N-乙烯基乙酰胺) 无规共聚物 Poly(acrylic acid-co-N-vinyl acetamide), random
中文字幕英文名称:聚亚克力 共(N-丁二烯基乙酰胺)英文怎么说简写:PAANVAran国外英文全程:Poly(acrylic acid-co-N-vinyl acetamide), randomCAS号:n/a; PAA: 9003-01-4; PNVA: 28408-65-3原子核式:[(C3H4O2)x(C4H7NO)y]n主链型式:无规共聚物重点材质:PAA亲疏水性树脂:亲水服务类型的:常用拿高氧分子荧光/亮光:无外觀/社会形态:nvme固态粉状或粉末(以事实外觀为基准)色度:≤ 100%格局式:



pg电子娱乐游戏app
微信公众号
官方微信