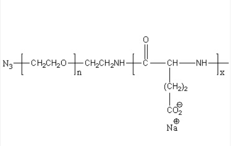
N3-PEG-b-PLE 叠氮基-聚乙二醇-聚L谷氨酸钠盐 二嵌段Azido-poly(ethylene glycol)-block-poly(L-glutamic acid sodium salt)
常常英文名称:聚乙二醇-聚L谷氨酸钠盐用英文怎么说简写:mPEG-b-PLE / mPEG-PLE英文版英文名称:Methoxy-poly(ethylene glycol)-block-poly(L-glutamic acid sodium salt)CAS号:n/a; PEG: 25322-68-3; PLE: 26247-79-0主链框架:二嵌段共聚物常见因素:PLE亲疏水溶性:亲水產类目型:聚有机酸荧光/发亮:无外觀/要素:固体粉尘或粉末(以真实外觀为基准)含量:90-100%构成式:



pg电子娱乐游戏app
微信公众号
官方微信