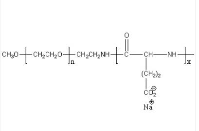
mPEG-b-PLE 聚乙二醇-聚L谷氨酸钠盐 二嵌段共聚物 Methoxy-poly(ethylene glycol)-block-poly(L-glutamic acid sodium salt)
英文版英文名称:聚乙二醇-聚L谷氨酸钠盐国外英文俗称:mPEG-b-PLE / mPEG-PLE英文怎么说总称:Methoxy-poly(ethylene glycol)-block-poly(L-glutamic acid sodium salt)CAS号:n/a; PEG: 25322-68-3; PLE: 26247-79-0主链框架:二嵌段共聚物重要组成成分:PLE亲疏丙烯酸乳液:亲水新产类目型:聚碳水化合物荧光/夜光:无外貌/形式:固体粉末状原材料或颗粒肥料(以现实情况外貌为标准)色度:90-100%设计式:



pg电子娱乐游戏app
微信公众号
官方微信