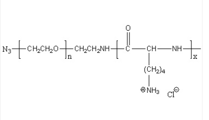
N3-PEG-b-PLKC 叠氮基-聚乙二醇-聚L赖氨酸盐酸盐 二嵌段共聚 Azido-poly(ethylene glycol)-block-poly(L-lysine hydrochloride)
2英文明称:叠氮基-聚乙二醇-聚L赖氨酸硫酸盐英语全称:N3-PEG-b-PLKC / N3-PEG-PLKC国外英文总称:Azido-poly(ethylene glycol)-block-poly(L-lysine hydrochloride)CAS号:n/a; PEG: 25322-68-3; PLKC: 26124-78-7主链构成:二嵌段共聚物关键物质:PLKC亲疏水性聚氨酯:亲水类产类别型:聚氨基荧光/发亮:无外在/价值形式:固态硬盘粉化或小粒(以实际上外在起算)纯净度:90-100%结构类型式:



pg电子娱乐游戏app
微信公众号
官方微信