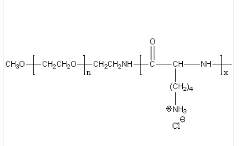
mPEG-b-PLKC 聚乙二醇-聚L赖氨酸盐酸盐 二嵌段共聚物 Methoxy-poly(ethylene glycol)-block-poly(L-lysine hydrochloride)
常常简称:聚乙二醇-聚L赖氨酸酸洗盐日文简称英文:mPEG-b-PLKC / mPEG-PLKC英文翻译被称为:Methoxy-poly(ethylene glycol)-block-poly(L-lysine hydrochloride)CAS号:n/a; PEG: 25322-68-3; PLKC: 26124-78-7主链架构:二嵌段共聚物主要是营养成分:PLKC亲疏水性树脂:亲水企业产商品型:聚核苷酸荧光/发光字:无外装/型态:固态硬盘安装粉丝或科粒(以实际情况外装为标准)饱和度:90-100%形式式:



pg电子娱乐游戏app
微信公众号
官方微信