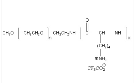
mPEG-b-PLKF 聚乙二醇-聚L赖氨酸三氟乙酸盐 二嵌段 Methoxy-poly(ethylene glycol)-block-poly(L-lysine trifluoroacetate)
繁体中文各称:聚乙二醇-聚L赖氨酸三氟乙酸盐英语翻译统称:mPEG-b-PLKF英语怎么说全名是:Methoxy-poly(ethylene glycol)-block-poly(L-lysine trifluoroacetate)CAS号:n/a; PEG: 25322-68-3; PLK: 25104-18-1主链结构类型:二嵌段共聚物主要是物质:PLKF亲疏水溶性:亲水品牌类别:聚酪氨酸荧光/发亮:无外形/行态:固态硬盘安装金属粉或粒子(以现场外形时以)饱和度:90-100%构成式:



pg电子娱乐游戏app
微信公众号
官方微信