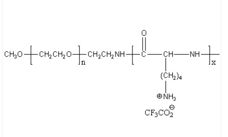
mPEG-b-PLKF 聚乙二醇-聚L赖氨酸三氟乙酸盐 二嵌段 Methoxy-poly(ethylene glycol)-block-poly(L-lysine trifluoroacetate)
英文姓英文名称:聚乙二醇-聚L赖氨酸三氟乙酸盐英语怎么说缩略词:mPEG-b-PLKF英文版中文名称:Methoxy-poly(ethylene glycol)-block-poly(L-lysine trifluoroacetate)CAS号:n/a; PEG: 25322-68-3; PLK: 25104-18-1主链节构:二嵌段共聚物最主要的因素:PLKF亲疏水性聚氨酯:亲水软件型号:聚氨基酸等荧光/夜光:无颜色/特征:固体碎末或小粒(以现场颜色应写)溶解度:90-100%结构类型式:



pg电子娱乐游戏app
微信公众号
官方微信