BT-PLE 聚L谷氨酸钠盐-生物素 聚氨基酸 端基修饰 Poly(L-glutamic acid sodium salt) Biotin
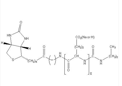
简体中文公司名称:聚L谷氨酸钠盐-生物技术素日语名字简称:BT-PLE英文翻译被称为:Poly(L-glutamic acid sodium salt) BiotinCAS号:n/a; PLE: 26247-79-0主链结构的:直链均聚物最主要的基本成分:PLE亲疏水:亲水產产品类别型:聚安基酸荧光/放光:无外装/型态:固体粉状或顆粒(以实践外装为标准)溶解度:90-100%结构的式:



pg电子娱乐游戏app
微信公众号
官方微信