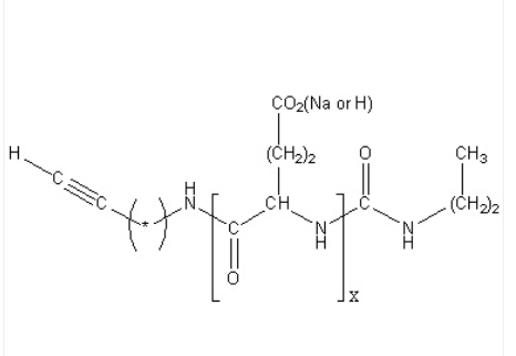
AK-PLE 聚L谷氨酸钠盐-炔基 聚氨基酸 端基修饰 Poly(L-glutamic acid sodium salt) Alkyne
2英文称呼:聚L谷氨酸钠盐-炔基因为统称:AK-PLE用英语英文名称:Poly(L-glutamic acid sodium salt) AlkyneCAS号:n/a; PLE: 26247-79-0主链结构设计:直链均聚物主要的营养成分:PLE亲疏丙烯酸乳液:亲水护肤类别型:聚核苷酸荧光/会亮:无的外观专利/形态特征:固定粉丝或颗粒状(以事实上的外观专利为标准)色度:90-100%组成部分式:



pg电子娱乐游戏app
微信公众号
官方微信