N3-PLE 聚L谷氨酸钠盐-叠氮基 聚氨基酸 端基修饰 Poly(L-glutamic acid sodium salt) Azide
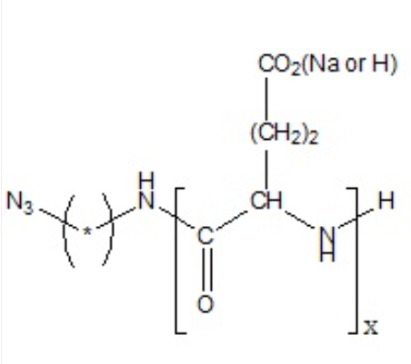
中文字幕名号:聚L谷氨酸钠盐-叠氮基英文音标简写:N3-PLE英语英文名称:Poly(L-glutamic acid sodium salt) AzideCAS号:n/a; PLE: 26247-79-0主链成分:直链均聚物基本因素:PLE亲疏水溶性:亲水新产不断研发创新型:聚有机酸荧光/出现发亮:无外表/底部形态:固态硬盘粉沫或颗粒物(以事实外表是以)含量:90-100%设计式:



pg电子娱乐游戏app
微信公众号
官方微信