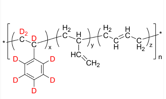
dPSBdran 聚([氘化苯乙烯-d8]-共-丁二烯) 氘化无规共聚物 Poly([deuterated styrene-d8]-co-butadiene), random
中文名字称谓:聚([氘化苯乙稀-d8]-共-丁二烯)日语全称:dPSBdran英文怎么说全稱:Poly([deuterated styrene-d8]-co-butadiene), randomCAS号:n/a; PS-d8: 27732-42-9; PS: 9003-53-6; PBd: 9003-17-2; PSBdran: 9003-55-8分子结构式:[(C8D8)x(C4H6)y]n主链空间结构:无规共聚物通常化学物质:PBd亲疏水:疏水车辆分类:放射性核素氘化夺团伙荧光/荧光:无构造式:

![dPSBdran 聚([氘化苯乙烯-d8]-共-丁二烯) 氘化无规共聚物 Poly([deuterated styrene-d8]-co-butadiene), random-UDP糖丨MOF丨金属有机框架丨聚集诱导发光丨荧光标记推荐西安pg电子娱乐游戏app
生物](/images/logo.png)

pg电子娱乐游戏app
微信公众号
官方微信